作者:高宏毅
作为以家庭为单位的产品,电吹风机在绝大多数家庭都拥有着一席之地。

自20世纪初期首次出现手持式吹风机到如今现代式吹风机大范围普及,电吹风机的外形与功能性都在进行着不断地革新升级。
目前国内电吹风市场销售规模稳定在百亿,市面存在十几块到几千块价位不等的品类,明明十几块就能解决吹干发丝的问题,为何还会产生高价市场?
高低端产品究竟间隔多大差异才能导致价格相差如此之大?
号称性能优于传统吹风机的高速吹风机又是否存在智商锐?
为解决消费者购买初期的疑问,接下来,我将从各个维度一一剖析。
一、吹风机种类和特点
1、电动机类型
⑴交流串激式吹风机:利用高电压使得机器内部温度高速上升,性能佳,风量大,不过转速噪音与温度过高,且换向器会干扰室内无线电设备。
⑵直流永磁式吹风机:利用钕铁硼磁铁产生磁场,迅速提升吹风机内部温度,重量较轻,转速高,由于制造工艺简单,造价不高,所以价格方面较为低廉。
⑶交流罩极式吹风机:利用涡轮扇叶带动空气流动使风量增大,由于它内部结构复杂,所以使用寿命长,且不会对无线电设备造成干扰,不过它转速较低,启动性能差,整体重量偏重。

2、送风类型
⑴离心式吹风机:电动机带动风叶高速旋转,使机器内部空气产生惯性离心力,持续向外排风。整体噪音较低,由于排出的风并未全部流经电动机,所以升温较高。
⑵轴流式吹风机:推动利用电动机带动叶轮进行工作,推动内部空气作轴向流动,继而向外排风。机器内部排出的风将全部流经电动机,电动机冷却条件好,绝缘不易老化,噪音大。

3、外壳材料
⑴金属型吹风机:铝合金外壳强度高、韧性强,耐腐蚀性能强,可承受高温,重量偏重。
⑵塑料型吹风机:轻便易携带,绝缘性能好,同时易于磨损,容易老化,耐高温性能差。

4、使用类型
⑴手持式吹风机:顾名思义,拥有手柄可手持使用,偏于携带。
⑵支座式吹风机:可放桌面或挂在墙体使用,但由于限制原因,仅适合在固定环境中使用。

5、功能类型
⑴普通吹风机:利用电热丝加热原件使发丝达到干燥效果,工艺简朴、造价低,易伤毛鳞片。
⑵恒温吹风机:控温芯片控制风温,使机器本身持续维系稳定温度。
⑶高速吹风机:内置马达高转速,通过强劲风速在短时间内迅速带走水分,噪音大,价格高,发丝易损伤。
⑷水离子吹风机:又称香氛水离子,其中加入维他命b5和植物香氛精油,在吹干发丝的过程保证头发内部水分平衡,不过于干燥。
⑸负离子吹风机:产生负电离子微粒和水蒸气粒子,中和发丝正电荷。

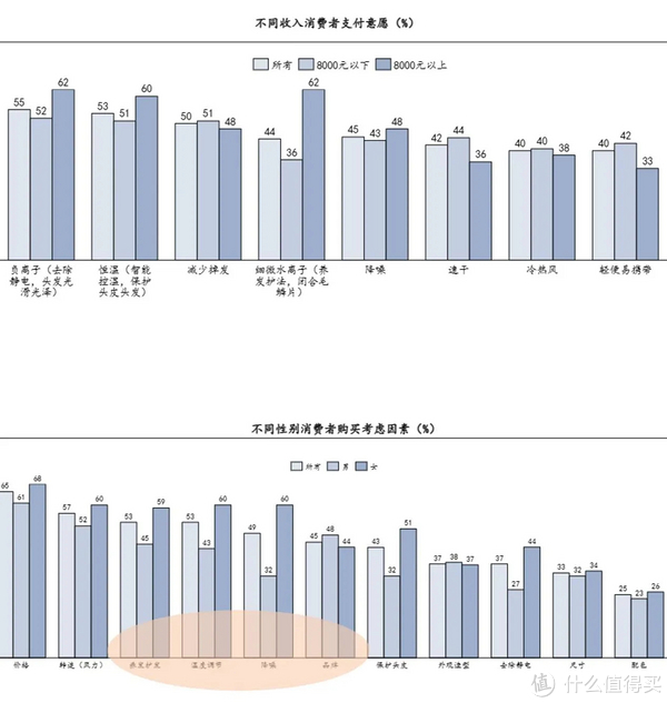
据不同性别与收入消费差均比统计,女性用户和高收入消费者在选购商品时,会跳出产品本身的设计品牌等因素,更为关注吹风机额外附加的功能价值。

二、规格、推荐配置与工作原理
1、规格
虽然各大品牌旗下的吹风机拥有不同型号、款式和大小,但它们的内在结构大体相同。 主要由电动机及它的驱动风叶、发热原件和控制开关组成,哪怕号称为无叶吹风机(驱动风叶隐藏于手柄内)的商品,同样都离不开这几大组成部分。

常用规格大小,主要按照电功率划分,家用吹风机常用规格在500瓦-2200瓦之间,吹干头发的效率取决于功率,功率越大,发热丝越厚,制造热能就愈多。

功率大小同样于电力耗能相关联,功率大则耗能高,且长时间使用将产生的辐射量也大,所以,不要一味追求速干而选择大功率商品。
2、部件作用
⑴壳体:不仅是外部装饰件,还对内部部件起绝对保护作用。
⑵电动机和风叶:电动机装于机器壳体内,风叶装于电动机轴端,当电动机旋转运作时,进风口吸入空气,出风口排出空气。
⑶电热元件:由电热丝绕制而成,装于出风口处,电热丝将电动机排出的风流加热,从而达成热风送出。
⑷挡风板:进风口处的圆形挡风板,用于调节进风量,进风量小,排出的风愈热。
⑸开关:大部分吹风机有三档开关,分别代表:冷风、热风、停止/启开按钮。 少部分机型只存在热风与开关键,属于较为落后的版本,随着性能改革完善,多数吹风机的发热元件都串联恒温自动电控原件,能智能调节风速温度。

3、配置因素
⑴风量 建议使用每分钟超过1.3立方米大风量机型。 如风量能过早使发丝干燥,便能极大减轻头皮及毛发损伤。 不过风量过速会导致噪音方面加大,所以尽量选择每分钟1.3立方米—1.8.立方米范围内的产品。 ⑵重量 极少有人吹发会用双手,除购买支座型吹风机外,手持吹风机需考虑本体重量,特别是头发较长的消费者。 一般吹风机本体重量为500g—800g,但还存在更轻的小型号产品,不过此类商品虽便于携带,但风量过小,且容易吸入头发导致危险发生。 ⑶头皮护理 如今很多厂商旗下的吹风机都搭载离子,既抑制产生静电,又能锁住水分,维护毛鳞片光泽度,避免发丝在干燥风流下形成枯燥、暗沉及打结现象。 ⑷温度调节 大多数吹风机的高低温为140°C—60°C左右。 高温虽能在极短时间内完成工作,可损伤头皮及毛发的概率增大,同时给肌肤造成极大压力。 所以恒温芯片便能在此时起到重要作用,长久维持头皮接受良好的中温。

⑸附赠配件 由于各式吹风机外观构造不同,彼此能配合使用的配件也不一致。 如某些机型的进出口能安装按摩头皮配件,或直卷梳配件,更甚者有防翘、柔风、顺滑等风嘴配件。 消费者在选购产品时,可以根据今后用途,确认是否需要配件附属。

4、工作原理
原理其实并不复杂,主要分为加热和吹风两个步骤。
利用机器内部风扇叶及电热丝结构,加热便需要电热丝通电发热,产生大量热量,再将热量传递给风叶,从而使得风扇叶片转动,将其传输排出风嘴。
若只用冷风,电热丝便不再通电,只运作内部风扇快速运转,使空气迅速转动,形成气流。
由于电热丝结构容易烧断,所以一般电吹风产品都配备了安全设置,当温度达到一定设定时,机器预判会损伤电热丝,便会自动断电起保护作用,等电热丝温度降低恢复到稳定状态,才可继续运转使用。
这就是为什么我们在使用某些吹风机时,会出现运转停止的状态,特别是价格低廉的产品,更容易因长时间使用高档热风,温度飞速上升后,易发生危险情况,如:高温烫伤而导致的皮肤红肿、水泡等症状,或机器自燃爆炸等。

三、吹风机正确使用方法
多数情况,我们不仅会使用吹风机吹干头发,还会将它用于美发造型。 在没有足够保护的情况下,过度使用会导致发丝状况变得糟糕,因头发纤维损坏,直接后果是发丝韧性变得愈加脆弱和脱水。
1、干发前,建议先使用头发护理产品,如:护发喷雾剂、护发精油、护发乳霜、护发发膜等,以免头发纤维受到负面影响。

2、使用外部物件划分发丝区域,既能保证护发产品不会停留于头皮表层,又能最大限度吹干里层发根,若长时间未将贴近头皮的发根吹干,容易引起偏头痛等疾病,湿发也易滋养繁殖细菌。

3、动过植发手术的消费者,在术后30天内,禁止使用吹风机,否则移植物的存活率将处于危险之中。

4、吹干湿发的过程,应距离吹风风嘴>=15cm,一方面防止堵塞风口和烧焦头发,一方面避免水蒸气影响绝缘强度,造成漏电。

四、保养维护事项
⒈须在铭牌规定的电源电压下使用,若电源线指定为3线电吹风机,则应正确连接地线。 ⒉定期清理灰尘,保证出风口畅通无异物,否则将造成机器内部过热而烧坏器具。 ⒊使用结束前,建议将热风档切换至冷风档,最后再切断电源,使机器内部温度逐渐降低,减缓绝缘老化,延长使用寿命。 ⒋建议间隙断续使用,以免电热元件和电机过热而烧坏,切忌不可放置于潮湿裸露环境。 ⒌不可随意掷甩,否则可能造成电热元件和电机受机械冲击而损坏,更不可随意拆卸,防止人为破坏部件。 ⒍定期将吹风机拿到专业店铺,对电动机轴承部分以及其他旋转部位加注润滑油,非专业人士尽量不宜DIY,否则油量把控不足,会导致线圈出现故障。
五、品牌介绍
国内电吹风市场竞争激烈,国外品牌虽更早出现,如日式传统吹风机以松下为代表,新兴高速吹风机以戴森为代表,其中戴森占据35.3%总市场份额,曾作为头部品牌位居第一。
而国产品牌徕芬直自面世后,销售额以价格优势在销售上飞速赶超戴森,一跃成为国内吹风机行业领军品牌。

【图示为2022年吹风机销量份额与销额份额排名】
短视频平台,徕芬市场占比高达41.2%,大幅领先同期品牌戴森,其余新锐品牌表现优异,有很大上涨空间。

据搜索数据排行显示,戴森、松下、徕芬、康夫、小米等品牌更受用户关注:

以品牌认知为基础统计,飞利浦和戴森仍旧是知名度最高品牌,但国产品牌线上销售势头猛烈,以徕芬为主,销量份额远超国外品牌。

-
戴森以科技感和优质设计为核心卖点主打精英群体,性能占据高端市场,产品在全世界37个国家销售,已拥有3000多项专利和超500项发明。
六、产品推荐
1、戴森HS01
干、直、卷三功能合一。
V9数码马达助力气流实现康达效应,强劲气流快速干发,解锁多种造型。
负离子技术,减震支架,LED智能提醒过滤网清洁,隔热尖端,方便安全拆卸配件。

2、戴森HD15
智能温控技术,每秒40余次精准监测。
再次革新美发科技,专利V9数码马达,110,000转/分钟,飓风级强劲风力。

-
飞利浦公司深耕多年,产品兼具了品牌与性价比,共拥有注册专利60000项,历经多次变革,仍以“精于心,简于行”为品牌宗旨,力求为消费者提供创新先进产品。
3、飞利浦BHD286/05
数字可视化程序,一键切换,多种预设模式,自由搭配3档热力/风速9档。
智能微感应处理器,风能工程学设计,五大护发模式,实时感应秀发表面温度。

4、飞利浦BHD538/25
波段式持续调温,不伤头皮,360°立体吹护,3分钟速干秀发体验。
温感焕护科技,双离子养护设计,高效马达30,000转/分钟,30m/s高风速。

徕芬作为兴起网络品牌以质感、设计争夺中高端市场,自研自产高速无刷电机,六重降噪科技,热衷探索尖端科技。
5、徕芬LF03
11,0000转高速无刷电机,2亿级高浓度负离子,智能控温芯片以100次/s风温检测3。
全速噪音低至59db5,三色灯环实时检测,4档风温,2档风速设计。



